Chính vì điều đó, vào năm 1963 ở Mỹ, đây là lần đầu tiên khái niệm về tiêu chuẩn phòng sạch được ra đời với sự nghiêm túc và khắc khe. Với quy định này mức hạt bụi lơ lửng trong một đơn vị thể tích không khí sẽ là thước đo để đánh giá phòng sạch tiêu chuẩn. Chúng ta sẽ có các kích thước hạt bụi từ 0,5 µm/ft3 thể tích không khí trong phòng sạch. Và phòng sạch cũng cần nhiều yếu tố cấu thành nên như: độ ẩm, nhiệt độ, áp suất tiêu chuẩn, nồng độ bụi,...

Tiêu chuẩn phòng sạch được biểu thị qua thông số dưới đây:
Tiêu chuẩn đầu tiên là Federal Stadard 209 (1963) - Tiêu chuẩn đo độ bụi trong phòng:
Vào năm 1963 tiêu chuẩn đầu tiên về phòng sạch đã được đưa ra.... qua các năm bảng thông số dần được cải tiến và hoàn thiện qua từng phiên bản 209 A, 209 B, ... 209 E ( năm 1992)

Ý nghĩa ký hiệu thông số:
(*) Chỉ số
(-) Không xác định
Tiêu chuẩn cải tiến Federal Standard 209 E (1992):
Đây là bảng thông số đã được cải tiên từ năm 1963 cho đến 1992, với bảng thông số này đã được điều chỉnh và thêm đơn vị thể tích không khí mới là m3

Tiêu chuẩn ISO 14644-1
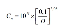
Bảng thông số được tổ chức tiêu chuẩn Quốc tế đã quy định các tiêu chuẩn về phòng sạch tiêu chuẩn quốc tế. Tiêu chuẩn ISO 14644-1 được thông qua và công bố vào năm 1999 để phân loại theo cấp độ phòng sạch. Các loại cấp độ phòng sạch sẽ được tính theo công thức sau:
CẤP ĐỘ PHÒNG SẠCH XEM TẠI ĐÂY:

Giải thích công thức:
Cn: là hàm lượng cho phép tối đa tính bằng đơn vị hạt/m3 của hạt bụi lơ lửng trong không khí
N: là chỉ số ISO, không vượt quá 9 và chỉ số cho phép nhỏ nhất là 0.1
D: là đường kính hạt được tính theo µm
Từ công thức trên ta có thể cho ra đời bảng thông số như sau:

Các cấp độ tiêu chuẩn phòng sạch sẽ được phân chia để ứng dụng trong ngành như sau:
Cấp độ loại 1 (Clearoom Clear 1)
- Cấp độ 1 phù với các doanh nghiệp xưởng sản xuất những vi mạch, công nghệ có kích thước nhỏ.
Cấp độ loại 10 (Clearoom Clear 10)
- Cấp độ 10 thích với vói các doanh nghiệp sản xuất các mạch tích hợp có kích thước trung bình
Cấp độ loại 100 (Clearoom Clear 100)
- Cấp độ 100 là loại phòng có sự đòi hỏi không có vi khuẩn, bụi để sử dụng sản xuất các loại thuốc tiêm vô khuẩn.
- Loại phòng phẫu thuật hoặc nuôi cấy mô
Cấp độ loại 1000 (Clearoom Clear 1000)
- Loại phòng sản xuất trang thiết bị quang học chất lượng cao.
- Loại phòng sản xuất bạc đạn kích thước siêu nhỏ.
Cấp độ loại 10000 (Clearoom Clear 10000)
- Loại phòng lắp ráp trang thiết bị thủy lực, khí nén, các loại van điều khiển trợ động, các thiết bị định giờ và bộ truyền động chất lượng cao.
- Loại phòng để sử dụng sản xuất các loại thuốc tiêm vô khuẩn.
Cấp độ loại 100000 (Clearoom Clear 100000)
- Loại phòng dùng cho công việc liên quan đến quang học.
- Loại phòng dùng lắp ráp linh kiện điện tử, thủy lực và khí nén.
- Loại phòng dùng để sản xuất dược phẩm, thực phẩm.
Để đạt đươc những tiêu chuẩn về phòng sạch trên thì bạn không thể thiếu được những trang thiết bị phòng sạch, đặc biệt trong đó có 1 buồng thổi khí air shower là sản phẩm dường như luôn luôn xuất hiện khi thi công và lắp đặt phòng sạch.
